| Dépose et pose |
| 1. |
Débranchez les bornes (A) de la batterie. La borne négative tout d'abord.
|
| 2. |
Déposez la batterie (A) après avoir enlevé le boulon de serrage.
|
| 3. |
Déposez le plateau de la batterie (A).
|
| 4. |
Pour la pose, suivez la procédure inverse de la dépose.
|
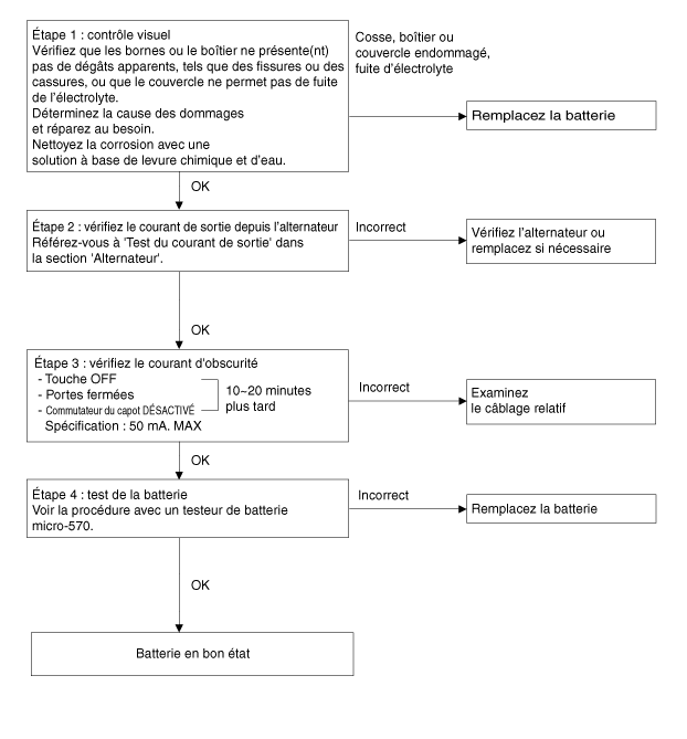
| CONTRÔLE |

| 1. |
DÉSACTIVEZ tous les dispositifs électriques puis DÉSACTIVEZ le commutateur
d'allumage.
|
| 2. |
Fermez toutes les portes sauf le capot moteur, puis verrouillez toutes
les portes.
|
| 3. |
Attendez quelques minutes, jusqu'à ce que les systèmes électriques du
véhicule se mettent en veille.
|
| 4. |
Connectez un ampèremètre en série entre la borne (-) de la batterie
et le câble de masse puis déconnectez le serrage de la borne (-) de
la batterie doucement.
|
| 5. |
Lisez la valeur de courant de l'ampèremètre.
|
| NETTOYAGE |
| 1. |
Assurez-vous que l′interrupteur d′allumage et tous les accessoires sont
en position OFF.
|
| 2. |
Débranchez les câbles de la batterie (en commençant par le négatif).
|
| 3. |
Déposez la batterie du véhicule.
|
| 4. |
Vérifier que le support de la batterie n'a pas été endommagé par une
perte d′acide de la batterie. Si c'est le cas, il sera nécessaire de
nettoyer la zone affectée avec une solution d′eau pure, chaude et de
bicarbonate de sodium. Nettoyez la zone avec une brosse dure et essuyez-la
avec un torchon imbibé d′eau et de bicarbonate de sodium.
|
| 5. |
Nettoyez le dessus de la batterie avec la solution décrite ci-dessus.
|
| 6. |
Rechercher des fissures sur le dessus de la coque de la batterie et
son couvercle. En présence de fissures, remplacez la batterie.
|
| 7. |
Nettoyez les cosses avec un outil adapté.
|
| 8. |
Nettoyer la surface interne des pinces de raccordement avec un outil
de nettoyage approprié. Changer les câbles élimés ou endommagés ainsi
que les pinces de raccordement brisées.
|
| 9. |
Posez la batterie dans le véhicule.
|
| 10. |
Branchez les cosses aux bornes de batterie, en vous assurant que les
sommets des cosses et des bornes sont affleurants.
|
| 11. |
Serrez correctement les écrous des brides.
|
| 12. |
Recouvrez tous les branchements de graisse minérale après serrage.
|
Batterie Composants et emplacement des composants
Capteur de la batterie Description et fonctionnementDiagrammes schématiques
DIAGRAMME SCHÉMATIQUE
Réservoir
Le réservoir est rempli avec un charbon activé et absorbe les vapeurs dans le
réservoir de carburant. La vapeur de carburant accumulée dans le réservoir est
aspirée dans le collecteur d'admission par l'ECM/PCM lorsque les ...
Commande d’admission d’air
Elle est utilisée pour sélectionner la position air extérieur (frais) ou air
recyclé.
Pour modifier la position de la commande d’admission d’air, appuyez sur le bouton
de commande.
Position air recyclé
En sélectionnant la position d’air recyclé, l’air se trouvant dans l’h ...